首页 女人频道 情感口述 性感女人 GIF 内涵
首页  >>  两性健康

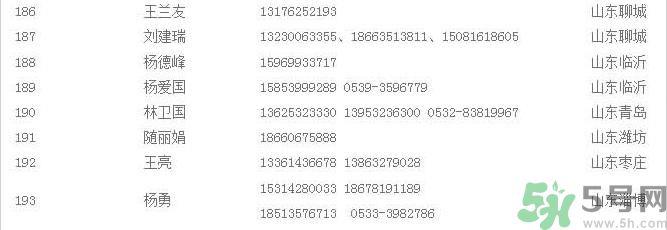
非法疫苗流入哪些省市名单曝光,非法疫苗有哪25种疫苗

标签:  0    
非法疫苗流入哪些省市名单曝光,非法疫苗有哪25种疫苗
非法疫苗流入哪些省市名单曝光,非法疫苗有哪25种疫苗

顶一下(0)踩一下(0)
上一篇:馥佩和百雀羚哪个好?下一篇:炸鱼为什么会粘锅 炸鱼不粘锅技巧
你可能喜欢
重组新冠疫苗是什么意思 灭活疫苗和重组疫苗哪个好进口疫苗和国产疫苗的区别 进口疫苗一定更好吗?新冠疫苗目前有几种 新冠疫苗打哪种好
疫苗对德尔塔还有用吗 打新冠疫苗疼吗新冠疫苗两针不是一个厂家的可以打吗 新冠疫苗有几种类型九价疫苗有年龄限定吗 宫颈癌9价疫苗适应人群
新冠疫苗打在哪个部位 大姨妈来可以打新冠疫苗吗新冠疫苗接种须知 打新冠疫苗期间注意事项新冠疫苗怎么网上预约 新冠疫苗接种前的注意事项
精彩推荐
浪荡的叫床说的话,男人都喜欢放荡的女人男人最想听到女人叫床词,13种类型你喜欢哪个休闲会所买钟套路能告她诈骗罪吗
 400多的spa是大飞机吗会感染艾滋病吗帮少妇怀孕的骗局,实在是让人哭笑不得几天同房一次对身体好
练洗髓功后变长变粗了21天增大3厘米锻炼方法教你一招能延长40分钟
栏目索引