首页
女人频道
情感口述
性感女人
GIF
内涵
首页
>>
娱乐八卦
黄金分割点是多少 蒙娜丽莎的黄金分割点在哪
标签:
0
顶(0)
评论:
0条
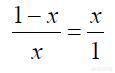
求解这个比例并不难,我们设线段总长为1,并设B的长度为x,则A的长度为1-x,这样这个关系就可以写作:
我们可以把这个公式恒等变形为
根据求根公式得到x为
顶一下
(0)
踩一下
(0)
上一篇:
我用官方的回答了他的废话是什么歌,官方回答歌曲介绍
下一篇:
快手木森个人资料真实身份 直播封禁原因是什么
你可能喜欢
断臂维纳斯有多高,全长2.04米(身高符合黄金分割比例)
世界上最美的女人,贝拉·哈迪德(面部最符合黄金分割理论)
蒙娜丽莎笑容包含恐惧,蒙娜丽莎倒过来看是鬼(可能是心理作用)
蒙娜丽莎后面的鬼长什么样 揭秘蒙娜丽莎十大恐怖之处
什么是割礼?割哪里 割礼的介绍解释!?
割礼是什么意思 女性割礼目的到底是割哪里
熔点最高的金属钨,比黄金熔点还要高600℃
外蒙是怎么从中国分割出去的 蒙古国和中国的关系
蒙娜丽莎的恐怖之谜——原型遗体被抛到垃圾场(十分可恨)
精彩推荐
佐藤健和上白石萌音是情侣吗
4P
让女朋友读的语音条40条!
4P
一句话给老公撩硬,五十八句你叫的出来吗
5P
女扮男装假小子偶像剧!中性扮相 刹那惊艳
5P
2020年女扮男装的古装电视剧你看过几部
2P
倪妮《28岁未成年》教你当男人对你冷淡了怎么
4P
捉奸记林月娥自缚被别人玩弄双乳
3P
性奴监狱 sm 调教 15部经典SM电影推荐
spa都包含哪些项目
栏目索引
女人频道
女优番号
性感女人
健康养生
两性健康
娱乐八卦
情感口述
邪恶GIF
动漫美女
日本漫画
灵异图片
内涵图吧
两性图片
综合图片